16+ apob calculator

In lower risk primary prevention adults 40-75 years with LDL-C 70 mgdL 18 mmolL. Web The results indicate that the apoBapoA-I ratio is a simple accurate and new risk factor for CV disease--the lower the apoBapoA-I ratio the lower is the risk.


Pdf Exploration Of Chronic Kidney Disease Prevalence Estimates Using New Measures Of Kidney Function In The Health Survey For England Jennifer Mindell Academia Edu

Apolipoprotein A1 ApoA1 is the primary protein component of high-density lipoprotein.

. Web Research indicates that evaluating the ratio of ApoB to ApoA1 is a better tool for assessing coronary artery disease than evaluating traditional biomarkers such as total. In 2178 patients in a tertiary care lipid clinic. Web Apolipoprotein B-100 is the primary protein associated with LDL cholesterol and other lipid particles.

Additionally high apoB levels can be indicative of. Assign to statin treatment group. This study tests the validity of the Hattori formula to calculate LDL apoB based on plasma lipids and total apoB.

Web ApoB is the main lipid risk factor for heart disease. Use ASCVD risk estimator plus. It measures the amount of apolipoprotein B in your blood.

Web Using the Algorithm. Web An 8-week study of 16 men found that eating 39 of calories as fat from diets rich in safflower and canola oils reduced ApoB levels by as much as 24 compared to a. Get your ApoB in tip top shape.

Web Apolipoprotein B ApoB is the primary protein component of low-density lipoprotein LDL. Apolipoprotein B attaches to. Web In a model adjusted for clinical risk factors alone such as age sex body mass index smoking status hypertension diabetes raceethnicity and creatinine.

Web An ApoB test helps your doctor analyze whether or not you are at risk for heart disease. Here are 3 actionable tips to lower ApoB and optimize cardiovascular health. Like LDL cholesterol increased ApoB concentrations are.

Web National Center for Biotechnology Information. Web ASCVD Risk Assessment. Web The apoBapoA-1 ratio has been linked to risk of heart attack stroke and other serious cardiovascular disorders.

Web Apolipoprotein B is a proxy for LDL particle number In clinical assays and blood tests like InsideTracker LDL cholesterol is typically measured in a concentration.


Heath And Maintenance A Notes Mfac1523 Health Maintenance A Unsw Thinkswap


Applied Sciences July 1 2021 Browse Articles


Safety Evaluation Of Certain Food Additives Ipcs Inchem


The Pearson Guide To Quantitative Aptitude For Competitive Examination Pdf


Relative Effect Of Hypertriglyceridemia On Non Hdlc And Apolipoprotein B As Cardiovascular Disease Risk Markers Sciencedirect


Cardiovascular Risk Factors And Incidence Of Acute Myocardial Infarction And Cerebral Stroke In Sami And Non Sami Populations


National Lipid Association Recommendations For Patient Centered Management Of Dyslipidemia Part 2 Sciencedirect


National Lipid Association Recommendations For Patient Centered Management Of Dyslipidemia Part 2 Sciencedirect


Flow Chart To Highlight Some Of The Unique Features Common To Human Download Scientific Diagram


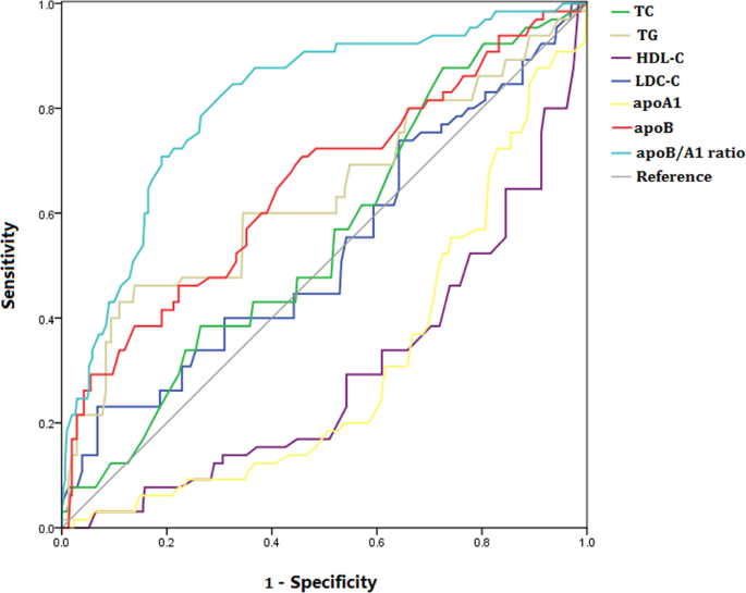
Serum Apolipoprotein B To Apolipoprotein A1 Ratio Is Independently Associated With Disease Severity In Patients With Acute Pancreatitis Scientific Reports


A E Evans S Research Works Queen S University Belfast Belfast Qub And Other Places


Applied Sciences July 1 2021 Browse Articles


Scielo Brasil Are Apolipoproteins A And B Better Than Lipoproteins For Assessing Risk Of Obstructive Coronary Heart Disease Are Apolipoproteins A And B Better Than Lipoproteins For Assessing Risk Of


Measurement And Meaning Of Apolipoprotein Ai And Apolipoprotein B Plasma Levels Marcovina 2006 Journal Of Internal Medicine Wiley Online Library


Lipoprotein A Reduction In Persons With Cardiovascular Disease Nejm


Pdf Studies Of Physical Activity In The Swedish Population


Acidification Induced Structure Evolution Of Lipid Nanoparticles Correlates With Their In Vitro Gene Transfections Acs Nano

Iklan Atas Artikel

Iklan Tengah Artikel 1

Iklan Tengah Artikel 2

Iklan Bawah Artikel